
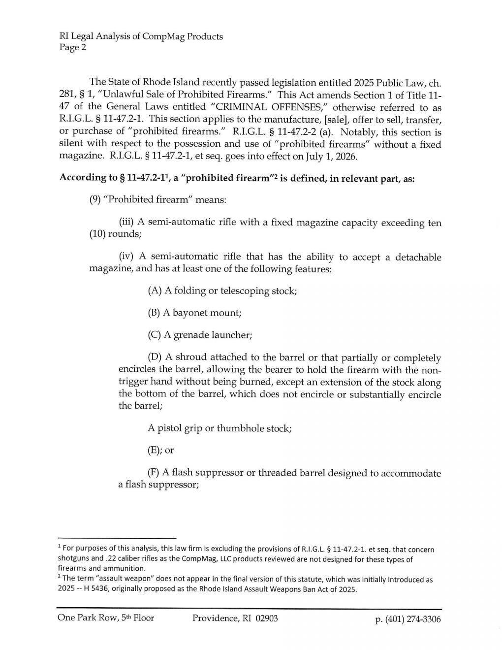
RHODE ISLAND COMPLIANCE
The Sate of Rhode Island recently passed legislation entitled 2025 Public Law, "Unlawful Sale of Prohibited Firearms" (2025-S 0359 Subsitute A). This goes into effect on July 1, 2026 and changes requirements for the manufacture, sale, purchase, or transfer of what are now considered " Prohibited Firearms". "Prohibited Firearms" are rifles or pistols with the ability to accept a detachable magazine and at least one "feature".
"Features" for rifles are: folding or telescopic stock, bayonet mount, grenade launcher, barrel shroud, pistol grip, thumbhole stock, threaded barrel, and flash suppressor.
"Features" for pistols are: the ability to accept a magazine at a location outside the pistol grip, threaded barrel, barrel shroud, and a buffer tube or arm brace that can be used for shouldering the weapon.
"Features" also includes any belt fed firearm.
So, any firearm with a detachable magazine and one of these features will be considered prohibited for sale, purchase, or transfer.
This takes out the most popular firearms that people use and want to buy. This really sucks, but we can help you with this situation.
There is an exemption. You can use a "Fixed Magazine", which is defined as "an ammunition feeding device that is permanetly fixed to the firearm in such a manner that it cannot be removed without disassembly of the firearm". Having a "fixed magazine" in your firearm removes the ability to accept a detachable magazine thereby removing the "features" restrictions. This is because you need both: a firearm that has the ability to accept a detachable magazine, and a feature to be a prohibited firearm. If you have a fixed magazine, you can keep the features.
Our magazines are Fixed Magazines and are designed for restrictive states. They can be used to keep rifles and pistols out of the prohibited category so that sales, transfers, and manufacturing can continue in Rhode Island.
I am not an attorney and the above is not legal advice, but please refer to the legal analysis below, written by Lynch and Pine Attorneys at Law, one of the foremost firearms attorneys in R.I.
This will better inform you as to how the new laws in Rhode Island work and how our magazines work with them.
Thank you.



