VIRGINIA COMPLIANCE
In 2026 Virginia's SB 749 was passed through the house and senate and will be signed into law. This is effectively a bill conceived from many other restrictive states laws. I will give you a recap of how I see it, but for complete information, please find our legal analysis from our Attorney Welch & Wright below.
Rifles.
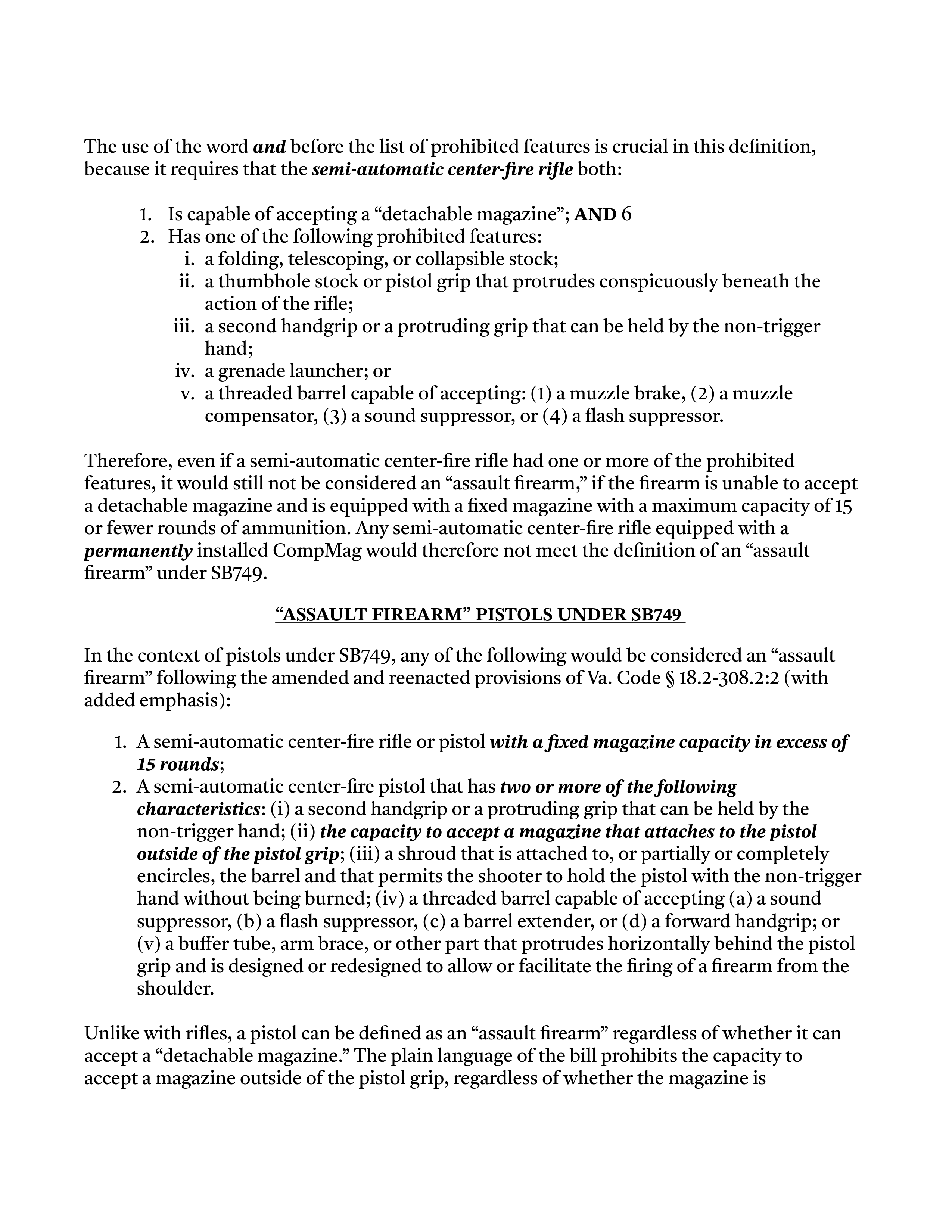
SB749 reads like most "assault weapon" bans. It has a rifle section based on a "the ability to accept a detachable magazine" and features. If you have a detachable mag and one feature, sales, importation, manufacturing, sales, and transfering of that firearm is prohibited. If you already own one, you can keep it, but cannot transfer or sell it.
Features are: folding or telescopic stock, thumbhole stock or pistol grip, second handgrip, grenade launcher, and threaded barrrel. Any one feature + a detachable magazine = "assault weapon".
Using a permanetly attached CompMag can remove a firearm from the "assault weapon" category by removing "the ability to accept a detachable magazine". Since you need BOTH the "ability " and a feature, the features will then be allowed. The CompMag must be installed in a permanent manner. This can be done by epoxying on the release hole cover on the AR-15/AR-10 versions or by epoxying over the screw head on the AK-47 version so that they cannot be removed form the firearm.
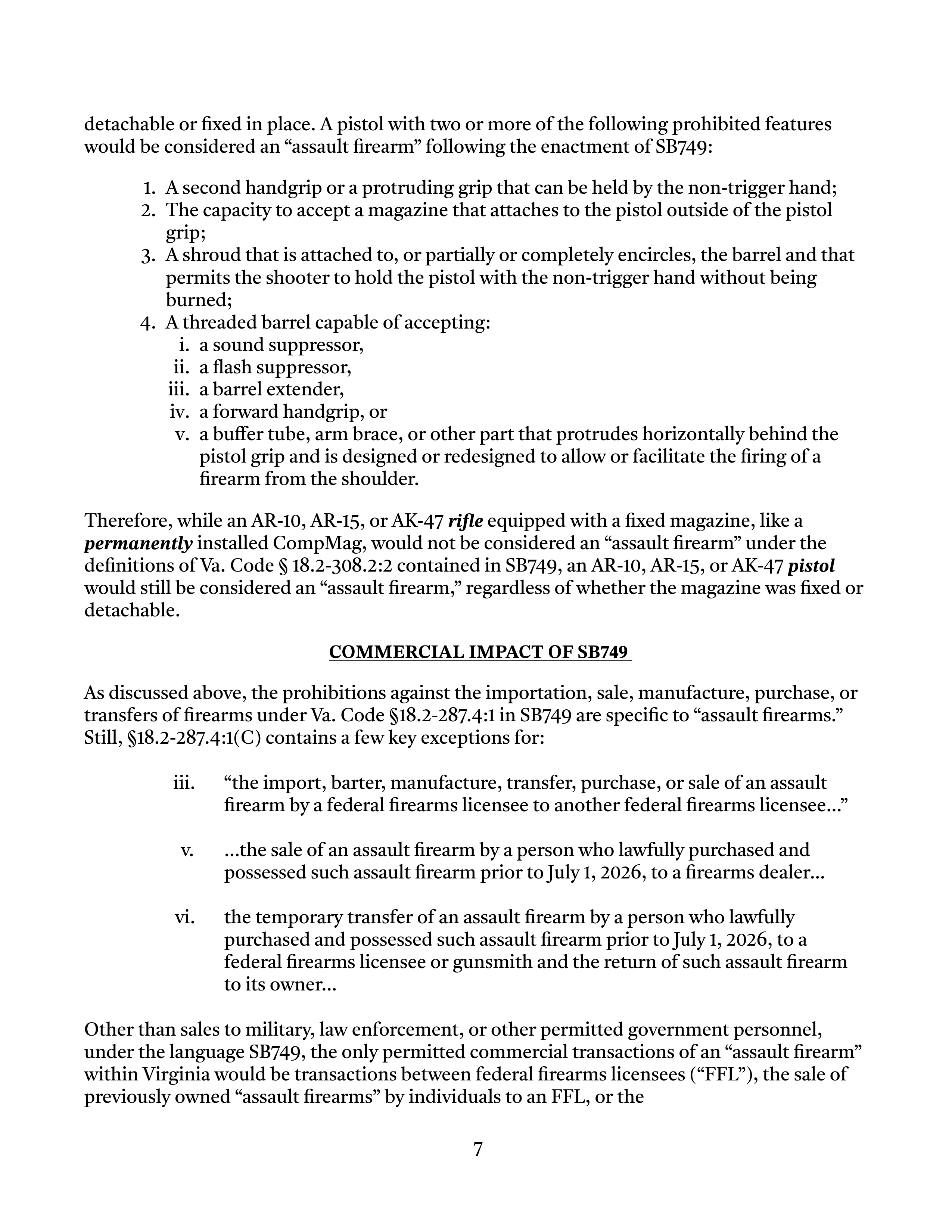
There is an exception for importation, sale, manufacture, transfers, or purcahase of "assault weapons" by one FFL to another. Therefore it is reasonable to belive that an FFL may import an "assault weapon" and convert it by adding the CompMag. This would take it out of the "assault weapon" category and could then be sold.
For personal rifles the addition of a permanetly mounted CompMag would allow for the sale and purchase of such rifles.
Pistols.
Pistols are classified as "assault weapons" by features alone, so having a permanetly attached magazine is of no consequence and ther does not seem to be a way around this. This includes AR-15 and AK style pistols.
If you have 2 or more features on a pistol, it is an "assault weapon". The features are: second handgrip, the capacity to accept a magazine outside of the pistol grip, a barrel shroud, a threaded barrel, forward grip, buffer tube or arm brace that can be shouldered.
As this is just my opinion, not legal advice, please read the analysis below from our attorneys.
Thank you.







